黑魔鬼香烟从外包装(黑魔装)来讲,全黑打扮给人一种很酷的感觉,两个魔鬼的图象更让人想象到从烟里面可以得到的快感。但是吸烟有害健康大家都是知道的,下面和jrs直播小编一起看看黑魔鬼香烟评测 香烟内尼古丁评测方法。

在主流烟气的气相物中,最主要的有氮、氧、二氧化碳、一氧化碳和氢。这5种气体约占总气相物的90%,占总烟气释放量的85%左右。除此之外,还有一些其它化学成分。其中最主要的有害成分就是烟碱(尼古丁),焦油,一氧化碳。接下来就让我们对这几种有害物质进行评测。
| 类型 :烤烟型 | 焦油量 :10mg | 烟气烟碱量 :0.8mg | 一氧化碳量 :11mg |
| 烟长:84mm | 过滤嘴长:25mm | 包装形式:条盒硬盒 | 单盒(包)支数:20 |
| 包装主色调:黑色 | 包装副色调:红色 | 销售形式:国外进口> | 产品状态:已上市 |
1,首先我们利用吸气装置将烟气的粒相成分(包括焦油、尼古丁、水)收集于棉花团上,此时棉花局部就变黄变褐了,那就是收集到的总粒相物(见下图1);
图1-总粒相物

2,称量出棉花原本的质量,然后再称量收集到总粒相物后的棉花质量(见下图2),用后者的质量减去前者的质量就是一根烟含有的总粒相物质量;
图2-收集到总粒相物后的棉花质量

3,把变黄变褐的棉花团浸取在盐酸和水中(见图3)

图3-总粒相物(焦油、尼古丁、水)溶解于盐酸和水中

4,以三氯甲烷为萃取剂,为指示剂,用标准硫酸溶液直接滴定尼古丁的方法(操作及颜色变化见图4)。

图4-实验过程图

硫酸溶液滴进尼古丁出现的分层
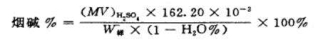
通过计算便得知烟碱尼古丁的含量了。通过相关运算即得出以下数据。:(单位mg.)
根据实验所得数据,按上式进行计算,得的评测结果为:BLACK DEVIL 黑魔鬼女士香烟烟碱含量=0.81mg.欧盟规定出售的香烟,烟碱含量不能高于1毫克

10种香烟尼古丁含量比较图
以上就是总过烟草网小编为大家整理收集的关于通过尼古丁成分测量实验,BLACK DEVIL牌女性香烟的尼古丁含量相对比较高。关注健康,与健康同行,常抽的MM们,你们的健康可以已经遭到威胁了,吸烟真的危害很大的。该引起注意了。